SOLUTION: I've forgotten how to solve simple logorithims.. haha
3. Find all real solutions to the following:
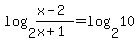
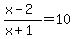
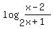
a) log2(x 􀀀 2) + log2(x + 1) = log2 10
Question 581755: I've forgotten how to solve simple logorithims.. haha
3. Find all real solutions to the following:
a) log2(x 2) + log2(x + 1) = log2 10 Answer by josmiceli(19441) (Show Source):