Question 553349: solve algebraically 3e^x-6e^-x=4
Answer by rapaljer(4671) (Show Source):
You can put this solution on YOUR website! Multiply both sides by e^x:
3e^2x - 6 = 4 e^x
Set equal to zero, and place in descending power:
3e^2x - 4 e^x - 6 =0
Factor into the product of two binomials: (3e^x-____)(e^x+_____)=0
OOPS!! It doesn't factor, so you will have to use the quadratic formula to solve for e^x.


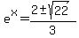
Reduce the fraction by dividing by 2:
Take the ln of each side:
Since you can't have an ln of a negative number, you can delete the solution involving the -sqrt(22) since it results in the ln of a negative. The only answer that works is
I wrote an entire curriculum for algebra, in particular for Logarithms, that might be helpful leading up to the skills in this problem!! You should see my "College Algebra: One Step at a Time". The easiest way to find this website is by use of the easy-to-remember and easy-to-spell link www.mathinlivingcolor.com. At the bottom of this page is a link that will take you to my FREE Homepage. Look near the top of this page for the link "Basic, Intermediate, and College Algebra: One Step at a Time", click on "College Algebra" and choose "Chapter 4 Logarithms". I also have two 2-hour videos of me teaching logarithms in my younger years before I retired. The videos can be found on my Homepage at the link "Rapalje Videos in Living Color." Everything on the website is FREE, even the videos!!
Happy New Year!! My Email address is rapaljer@seminolestate.edu if you need to contact me!!
Dr. Robert J. Rapalje, Retired
Seminole State College of Florida
Altamonte Springs Campus
|
|
|