SOLUTION: Let {{{g(x)=(1/5)^x}}} Solve g(x)={{{sqrt(5)}}} for x. Can anyone help me with this please?

Algebra ->  Logarithm Solvers, Trainers and Word Problems -> SOLUTION: Let {{{g(x)=(1/5)^x}}} Solve g(x)={{{sqrt(5)}}} for x. Can anyone help me with this please?      Log On


   



Question 540870: Let g%28x%29=%281%2F5%29%5Ex
Solve g(x)=sqrt%285%29 for x.

Can anyone help me with this please?

Answer by Earlsdon(6294) About Me  (Show Source):
You can put this solution on YOUR website!
Solve for x:
g%28x%29+=+%281%2F5%29%5Ex for g%28x%29+=+sqrt%285%29
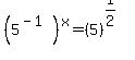
%281%2F5%29%5Ex+=+sqrt%285%29 Rewrite the left and right sides: %281%2F5%29%5Ex+=+%285%29%5E%28-x%29 and sqrt%285%29+=+%285%29%5E%281%2F2%29
%285%5E%28-1%29%29%5Ex+=+%285%29%5E%281%2F2%29 Take the log of both sides.
Log%285%29%5E%28-x%29+=+Log%285%29%5E%281%2F2%29 Apply the "power rule".
-x%2ALog%285%29+=+%281%2F2%29%2ALog%285%29 Divide both sides by Log%285%29
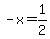
-x+=+%281%2F2%29%28Log%285%29%2FLog%285%29%29 Simplify.
-x+=+1%2F2 Multiply by -1.
highlight%28x+=+-%281%2F2%29%29