SOLUTION: I need help with these questions 5^x=125 8^x+1=16^x 81^(3/4)=x 8^(-2/3)=x log(base2)32=x log(base x) (1/9)=-2 log(base4)x=3 Log(base3)(x+7)=Log(base3)(2x-1)

Algebra ->  Logarithm Solvers, Trainers and Word Problems -> SOLUTION: I need help with these questions 5^x=125 8^x+1=16^x 81^(3/4)=x 8^(-2/3)=x log(base2)32=x log(base x) (1/9)=-2 log(base4)x=3 Log(base3)(x+7)=Log(base3)(2x-1)      Log On


   



Question 492607: I need help with these questions
5^x=125
8^x+1=16^x
81^(3/4)=x
8^(-2/3)=x
log(base2)32=x
log(base x) (1/9)=-2
log(base4)x=3
Log(base3)(x+7)=Log(base3)(2x-1)

Found 2 solutions by chessace, MathTherapy:
Answer by chessace(471) About Me  (Show Source):
You can put this solution on YOUR website!
Looks like you need more practice with exponents and logs.
1. [could just look at it and notice that 5^3 = 125].
Take lob(base 5) of both sides.
log(base 5)(5^x) = x by definition
log(base 5)(125) = 3 by the process of seeing how many 5's multiplied together it takes to reach 125.
2. 8^(x+1)=16^x = (8^2)^x = 8^(2x)
Base is same, exponents must be same: x+1=2x; x=1
3. x=81^(3/4)=(81^(1/4))^3 Note that 3^4 = 81, so
x = ((3^4)^1/4))^3 = (3^(4*(1/4)))^3 = (3^1)^3 = 3^3 = 27
4. note that 2^3 = 8. 8^(-2/3) = (2^3)^(-2/3) = 2^(-2) = -1/4.
5. x=log(base 2)32. How many 2's have to be mult together to get 32?
2 4 8 16 32: 5 of them. x=5.
6. statement implies that x^-2 = 1/9. x=3.
7. " " " 4^3 = x, x=64.
8. " " " x+7=2x-1. Solve for x.

Answer by MathTherapy(10837) About Me  (Show Source):
You can put this solution on YOUR website!
I need help with these questions
5^x=125
8^x+1=16^x
81^(3/4)=x
8^(-2/3)=x
log(base2)32=x
log(base x) (1/9)=-2
log(base4)x=3
Log(base3)(x+7)=Log(base3)(2x-1)

The person who responded has WRONG answers for #s 2 & 4.

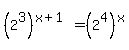
2.    8%5E%28x+%2B+1%29+=+16%5Ex
   %282%5E3%29%5E%28x+%2B+1%29+=+%282%5E4%29%5Ex
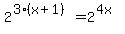
   2%5E%283%28x+%2B+1%29%29+=+2%5E%284x%29
     3(x + 1) = 4x  +----- Bases are equal, and so are the exponents
       3x + 3 = 4x
            3 = 4x - 3x
            3 = x, and NOT 1, as he/she claims!!
===============================
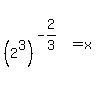
4.      matrix%282%2C1%2C+%22+%22%2C+8%5E%28-+2%2F3%29%29+=+x
     matrix%282%2C1%2C+%22+%22%2C+%282%5E3%29%5E%28-+2%2F3%29%29+=+x 
    matrix%282%2C1%2C+%22+%22%2C+2%5E%283%28-+2%2F3%29%29%29+=+x 
  matrix%282%2C1%2C+%22+%22%2C+2%5E%28cross%283%29%28-+2%2Fcross%283%29%29%29%29+=+x
    2%5E%28-+2%29+=+highlight%28%281%2F4%29+=+x%29, NOT - 1/4 as he/she claims!!.