SOLUTION: Hi, I am stuck in solving x=Log √2√2√2√2 to the base √2 . Kindly help me to solve. It is nested square root of 2. Thanks and regards, AN

Algebra ->  Logarithm Solvers, Trainers and Word Problems -> SOLUTION: Hi, I am stuck in solving x=Log √2√2√2√2 to the base √2 . Kindly help me to solve. It is nested square root of 2. Thanks and regards, AN      Log On


   



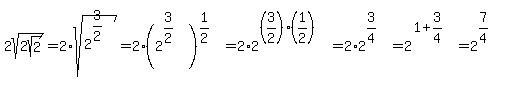
Question 479141: Hi,
I am stuck in solving x=Log √2√2√2√2 to the base √2 . Kindly help me to solve.
It is nested square root of 2.
Thanks and regards,
AN

Answer by Tatiana_Stebko(1539) About Me  (Show Source):