SOLUTION: Express the logarithm in a simplified form? 3lnx-2lny-4lnz

Algebra ->  Logarithm Solvers, Trainers and Word Problems -> SOLUTION: Express the logarithm in a simplified form? 3lnx-2lny-4lnz      Log On


   



Question 47179: Express the logarithm in a simplified form?
3lnx-2lny-4lnz

Answer by adamchapman(301) About Me  (Show Source):
You can put this solution on YOUR website!
Remember this rule: a.log(b)=log(b^a)
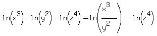
3ln%28x%29-2ln%28y%29-4ln%28z%29=ln%28x%5E3%29-ln%28y%5E2%29-ln%28z%5E4%29
Another rule: log(a)-log(b)=log(a/b)
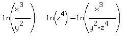
ln%28x%5E3%29-ln%28y%5E2%29-ln%28z%5E4%29=ln%28%28x%5E3%29%2F%28y%5E2%29%29-ln%28z%5E4%29
ln%28%28x%5E3%29%2F%28y%5E2%29%29-ln%28z%5E4%29=ln%28%28x%5E3%29%2F%28y%5E2%2Az%5E4%29%29
So the full expansion is:
3ln%28x%29-2ln%28y%29-4ln%28z%29=ln%28%28x%5E3%29%2F%28y%5E2%2Az%5E4%29%29
I hope this helps,
Adam
P.S. please visit my website, it may be helpful to you. The address is www.geocities.com/quibowibbler