SOLUTION: I need Help understanding how to do these: {{{log( 4, (x-2) )+log(4, (x-8) )= 2}}}
Algebra
->
Logarithm Solvers, Trainers and Word Problems
-> SOLUTION: I need Help understanding how to do these: {{{log( 4, (x-2) )+log(4, (x-8) )= 2}}}
Log On
Algebra: Logarithm
Section
Solvers
Solvers
Lessons
Lessons
Answers archive
Answers
Click here to see ALL problems on logarithm
Question 4396
:
I need Help understanding how to do these:
Answer by
ichudov(507)
(
Show Source
):
You can
put this solution on YOUR website!
My obligatory cartoon:
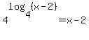
Exponentiate both sides, that is, take 4 to the power of both sides:
Note that
, so
.
that simplifies to a simple quadratic equation, solve it. x=10 is one obvious answer, there could be another.