SOLUTION: Rewrite the expression 5logx - 4log(x^2+1) + 4log(x-1) as a single logarithm A. A =
Algebra
->
Logarithm Solvers, Trainers and Word Problems
-> SOLUTION: Rewrite the expression 5logx - 4log(x^2+1) + 4log(x-1) as a single logarithm A. A =
Log On
Algebra: Logarithm
Section
Solvers
Solvers
Lessons
Lessons
Answers archive
Answers
Click here to see ALL problems on logarithm
Question 429171
:
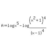
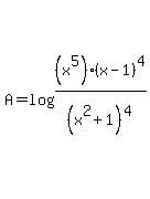
Rewrite the expression 5logx - 4log(x^2+1) + 4log(x-1) as a single logarithm A.
A =
Answer by
poliphob3.14(115)
(
Show Source
):
You can
put this solution on YOUR website!
Solution: