SOLUTION: Express as a single logarithm, and if possible simplify. log(x^2+8x+15)-log(x^2-25)=

Algebra ->  Logarithm Solvers, Trainers and Word Problems -> SOLUTION: Express as a single logarithm, and if possible simplify. log(x^2+8x+15)-log(x^2-25)=       Log On


   



Question 423875: Express as a single logarithm, and if possible simplify.
log(x^2+8x+15)-log(x^2-25)=

Answer by MathLover1(20850) About Me  (Show Source):
You can put this solution on YOUR website!
You need to use the logarithm identity,
log%28A%2FB%29+=+log%28A%29+-log%28B%29
so,
log%28%28x%5E2%2B8x%2B15%29%29-log%28%28x%5E2-25%29%29

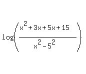
= log%28%28%28x%5E2%2B8x%2B15%29%2F%28x%5E2-25%29%29%29

= log%28%28%28x%5E2%2B3x%2B5x%2B15%29%2F%28x%5E2-5%5E2%29%29%29

= log%28%28%28x%5E2%2B3x%29%2B%285x%2B15%29%29%2F%28x-5%29%28x%2B5%29%29%29

= log%28%28%28x%28x%2B3%29%2B5%28x%2B3%29%29%2F%28x-5%29%28x%2B5%29%29%29%29%29

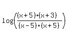
= log%28%28%28%28x%2B5%29%28x%2B3%29%29%2F%28x-5%29%28x%2B5%29%29%29%29

= log%28%28%28cross%28%28x%2B5%29%29%28x%2B3%29%29%2F%28x-5%29cross%28%28x%2B5%29%29%29%29%29

= log%28%28%28x%2B3%29%2F%28x-5%29%29%29