Question 419013: f(x)=log(sub5)(4-x)-2
Find the domain, asymptote, and x & y intercepts
Answer by jsmallt9(3758) (Show Source):
You can put this solution on YOUR website! First of all, the 5 is not a subscript, even though it looks like one. The 5 is the base of the logarithm.

The domain is the set of all possible input values. (Usually, like this function, the input variable is called "x" so the domain is often described as the set of all possible values for x.) In general, the domain for a function is all real numbers except those which must be excluded. Some values for x to exclude:- Values that would make a denominator zero.
- Values that would make the radicand (the expression within a radical is called a radicand) of an even-numbered root (square (aka 2nd) root, 4th root, 6th root, etc.) negative.
- Values that would make the argument of a logarithm negative or zero.
- Values that would make the base of a logarithm negative or zero or 1.
These are the most common reasons for excluding values for x. They are not all the reasons. Any other "no-no's", like , must also be excluded.
Your function has no denominators and no even-numbered roots. But it does have a logarithm. So we must have a domain that keeps both the argument and base positive. (The base also cannot be a 1.) Since there is no variable in the base, there is now way for it to be anything but a 5. But the argument, (4-x), has a variable in it so it could be zero or negative with the "right" (i.e. wrong) values. To make sure (4-x) is positive we "say" it in algebraic terms:
4-x > 0
and then we solve for x. This will tell us the values for x that make the argument positive. The quick way to solve for x is to just add x to each side. (See below for an important note about slower ways.) This gives us:
4 > x
Now we will translate this back into English. Always read inequalities from where the variable is. The variable is on the right here so we will read this from right to left! (Math is not English. In Math, as you probably know, we do not always do things from left to right.) So this inequality reads as: "x is less than 4".
So the domain is all numbers less than 4. You might think that this domain includes negative numbers. And you would be correct. But it is not x that can't be negative, it is the argument of the logarithm that cannot be negative. And we have found that any number less than 4, including the negatives, will make 4-x positive.
The asymptote(s) for a logarithmic function will be the x value(s) that make the argument of the logarithm zero. Solving 4-x = 0 we should get x = 4 which is the one and only asymptote.
The x-intercepts are where the y (aka the function value) is zero. So for the x-intercept

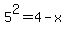
Solving for x we add 2:

Rewrite in exponential form:

25 = 4-x
Subtract 4:
21 = -x
Multiply or divide both sides by -1:
-21 = x
There is one x-intercept: (-21, 0)
The y-intercept will occur where x is zero. So for the y-intercept:

which simplifies to:

So the y intercept is: ( , 0). (If you want/need a decimal approximation for the x coordinate, then use the change of base formula, , to convert the base from 5 to a base your calculator "knows", like base 10 or base e (aka ln).)
Special note on solving 4-x > 0...
We are English readers and writers so we are used to doing things from left to right. So many of us "like" to have the variable on the left side so we can read the equation/inequality from left to right. Therefore many of us are tempted to solve 4-x > 0 by subtracting 4 from each side first. This will work but there is a "trap" that is easy to fall into. Subtracting 4 from each side we get:
-x > -4
Now we multiply (or divide) each side by -1. Here's the "trap". You have to remember that whenever you multiply or divide any inequality by any negative number, you must reverse the inequality! So after we multiply by -1 we get:
x < 4
which, like our earlier right-to-left solution, says "x is less than 4". If you forget this special rule (and this is easy to do), then you end up with x > 4 which is the exact opposite of what it should be.
|
|
|