SOLUTION: Simplify the expression. (Do not expand the expression in the denominator.) ((e**(3 x) - e**(-3 x))**2 - (e**(3 x) + e**(- 3 x))**2)/(e**(3 x) + e**(- 3 x))**2

Algebra ->  Logarithm Solvers, Trainers and Word Problems -> SOLUTION: Simplify the expression. (Do not expand the expression in the denominator.) ((e**(3 x) - e**(-3 x))**2 - (e**(3 x) + e**(- 3 x))**2)/(e**(3 x) + e**(- 3 x))**2       Log On


   



Question 418369: Simplify the expression. (Do not expand the expression in the denominator.)
((e**(3 x) - e**(-3 x))**2 - (e**(3 x) + e**(- 3 x))**2)/(e**(3 x) + e**(- 3 x))**2

Answer by jsmallt9(3758) About Me  (Show Source):
You can put this solution on YOUR website!

Part of simplifying this fraction will be to reduce it, if possible. And to reduce a fraction you must know what the factors are of the numerator and denominator. The denominator is already in factored form but not the numerator. So we start by factoring the numerator.

The straightforward way to factor the numerator would be:
  1. Square %28e%5E%283+x%29+-+e%5E%28-3x%29%29%5E2
  2. Square %28e%5E%283+x%29+%2B+e%5E%28-3x%29%29%5E2
  3. Subtract: (the answer from step 1) minus (the answer from step 2).
  4. Factor.

This will work (if you do it correctly) but it will take time.

The fast way to factor the numerator is to notice that the numerator is a difference of squares (for which there is a factoring pattern). Look at the numerator. Do you see that the numerator is (something)**2 - (something-else)**2? If you have trouble seeing this, then temporary variables can help:
Let p = %28e%5E%283+x%29+-+e%5E%28-3x%29%29
Let q = %28e%5E%283+x%29+%2B+e%5E%28-3x%29%29
Using these temporary variables the fraction becomes:
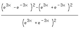
%28p%5E2-q%5E2%29%2Fq%5E2
The numerator is clearly a difference of squares. So it will factor according to the pattern a%5E2-b%5E2+=+%28a%2Bb%29%28a-b%29:
%28%28p%2Bq%29%28p-q%29%29%2Fq%5E2
Now that the factoring is done, let's replace the temporary variables. (Note the use of parentheses. When replacing one expression with another, especially when more terms are involved, is an excellent habit to have. It will help you avoid many common mistakes. It is very important to use parentheses here when replacing p with %28e%5E%283x%29+-+e%5E%28-3x%29%29 and q with %28e%5E%283+x%29+%2B+e%5E%28-3x%29%29):

Take a moment to look at this expression and the original expression and see if you can "see" how the original numerator would factor the way it has been factored. After a few problems like this you will develop an "eye" for this that will mean you can skip the temporary variables.

Looking carefully we can see that some terms cancel in each factor of the numerator (because they are opposites that combine to make a zero):

leaving:

The remaining terms in each factor of the numerator are like terms so we can combine them:
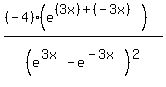
%28%282e%5E%283x%29%29%28-2e%5E%28-3x%29%29%29%2F%28e%5E%283x%29+-+e%5E%28-3x%29%29%5E2
There are no common factors of the numerator and denominator so we cannot reduce this fraction. But the numerator has been simplified greatly... and we're not finished yet! Using the Commutative and Associative Properties in the numerator we can rewrite it as:

When we multiply the "e" terms, the rule for the exponents is to add the exponents:

which simplifies to:
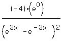
%28%28-4%29%2A%28e%5E0%29%29%2F%28e%5E%283x%29+-+e%5E%28-3x%29%29%5E2
And since e%5E0+=+1 this becomes:
%28-4%29%2F%28e%5E%283x%29+-+e%5E%28-3x%29%29%5E2
This is the simplified expression (without expanding the denominator). (You should get exactly the same answer if you use the straightforward method described at the start.)