Question 406164: log 3 square root 27
Answer by jsmallt9(3759) (Show Source):
You can put this solution on YOUR website! 
The idea behind logarithms is that it is possible to take any positive number (other than 1), raise it to the right power and get any other positive number. For example, it is possible to raise 5 to some power and get a 9. Or raise 34 to the right power and get 1/2.
Logarithms are a way to express these exponents. (In short, logarithms are exponents.) For example the exponent to use on 5 to get 9 is expressed as . So by definition ! Although we read as "base 5 logarithm of 9", we should be thinking of "this is the exponent for 5 that results in 9".
Some of these exponents are easy to know. For example . We should know what exponent on a 7 results in 49. It is 2. So And . This is the exponent for 25 that results in 5. This one's a little tricky but if you know about square roots and that exponents of 1/2 represent a square root, then it should not surprise you to find that 
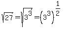
So your expression, , is read as "base 3 logarithm of 27" we should be thinking of it as "the exponent for 3 that results in So your problem is to figure out what power of 3 results in . If you know that and if you're really good with exponents you will already know the answer. If you don't know the answer yet, then try to express as a power of 3. Well, we can start by writing the 27 as a power of 3:

But what about the square root? Square roots are powers of 1/2. IOW, . So we can rewrite our square root as an exponent of 1/2:

The rule for exponents when raising a power to a power is to multiply the exponents:

We can now see what exponent on 3 results in ! An exponent of 3/2 on a 3 results in . So
|
|
|