Question 404895: please help me solve for x simultaneously in this equation
log(base3)of x=y
log(base9) of(2x-1)=y
struggling especially on the part of making the bases the same
Found 2 solutions by Tatiana_Stebko, jsmallt9: Answer by Tatiana_Stebko(1539) (Show Source): Answer by jsmallt9(3758) (Show Source):
You can put this solution on YOUR website! 

We can use the substitution method to solve this. We already have y "solved for" (twice!). Substituting the expression for y from the first equation for the y in the second equation we get:

Solving this type of equation (one variable which is located in the argument of one or more logarithms) often starts with transforming the equation into one of the following forms:
log(expression) = other-expression
or
log(expression) = log(other-expression)
It would appear that this equation is already in the second form. But your logarithms are of different bases and the second form requires that the bases be the same. So in order to solve this equation we need to get the bases the same.
We can change the base 3 log into base 9 logs, the base 9 log into base 3 logs or change both of these logs into logs of some 3rd base. Since 9 and 3 are powers of each other, it makes sense not to use the 3rd option. And since 9 is a more obvious power of 3 than 3 is of 9 we will change the base 9 log into base 4 logs. (BTW, 
To change the base of a logarithm we use the base conversion formula:

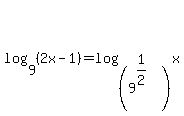
We will use this to change the base 9 logarithm into a fraction of base 3 logarithms:

And since the denominator becomes a 2:

With the bases the same we are closer to an equation we can solve. That 2 in the denominator is in the way. First we can eliminate the fraction by multiplying both sides by 2:

The 2 is still in the way but it is in a better location. We can now use a property of logarithms, , to move the coefficient of a logarithm into the argument as its exponent. This allows us to move the 2 "out of the way".:

We finally have the second form. With this form the next step is based on some simple logic: If the base 3 logarithms of those two arguments are equal, then the arguments themselves must be equal, too. So:

This we can solve. It is a quadratic equation so we want one side to be zero. Since quadratics are easier if the squared terms has a 1 in front of it, I am going to subtract 2x and add 1 on both sides:

Now we factor (or use the Quadratic Formula). This factors very easily:
0 = (x-1)(x-1)
From the Zero Product Property we know that this (or any) product can be zero only if one (or more) of the factors is zero. And since our factors are identical, whatever makes one factor zero will make the other one zero, too. We just have to solve:
x-1 = 0
Solving this we get
x = 1
With equations like this you must check your answers. You must check to see that your solution(s) make all arguments (and bases) of all logarithms positive. Any "solution" that makes an argument (or base) of a logarithm zero or negative must be rejected. And these rejected "solutions" can occur even if no mistakes have been made! This is why you must check (no matter how good at Math you are).
When checking always use the original equation. And here we are talking about:

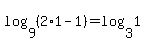
Checking x = 1:

which simplifies to:

As you can see, both arguments are positive (and so are the bases) when x = 1. So there is no reason to reject this solution. This is the required part of the check. Finishing the check will tell us if we made a mistake. You are welcome to finish the check.
So we have one solution for x. Now we find the y. For this we go back to the one of the equations from the original system. Let's use the first equation:

Substituting the value we found for x we get:

Now we need to figure out that logarithm. What is the base 3 log of 1? Well the base 3 log of 1 represents the power of 3 that results in a 1. With a little thought we should be able to figure out that 3 to the zero power is a 1. (After all, any non-zero number to the zero power is a 1!). So the base 3 log of 1 is 0:
0 = y
And so the only solution to this system is (1, 0).
|
|
|