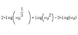
SOLUTION: wrtie the expression as one logarithm: 2logxy^1/3 + logxy^2 - 3logxy

Algebra ->  Logarithm Solvers, Trainers and Word Problems -> SOLUTION: wrtie the expression as one logarithm: 2logxy^1/3 + logxy^2 - 3logxy      Log On


   



Question 399942: wrtie the expression as one logarithm: 2logxy^1/3 + logxy^2 - 3logxy
Found 3 solutions by ewatrrr, Alan3354, Edwin McCravy:
Answer by ewatrrr(24785) About Me  (Show Source):
You can put this solution on YOUR website!

Hi


2logxy^1/3 + logxy^2 - 3logxy
logx y^2/3 + logx y^2 - logx y^3
logx (y^8/3)/y^3
logx y^(-1/3)

Answer by Alan3354(69443) About Me  (Show Source):
You can put this solution on YOUR website!
wrtie the expression as one logarithm: 2logxy^1/3 + logxy^2 - 3logxy
------------
I think you mean base x:
2log%28x%2Cy%5E%281%2F3%29%29+%2B+log%28x%2Cy%5E2%29+-+3log%28x%2Cy%29
= log%28x%2Cy%5E%282%2F3%29%29+%2B+log%28x%2Cy%5E2%29+-+log%28x%2Cy%5E3%29
= log%28x%2Cy%5E%288%2F3%29%29+-+log%28x%2Cy%5E3%29
= log%28x%2Cy%5E%28-1%2F3%29%29
or = %28-1%2F3%29log%28x%2Cy%29%29

Answer by Edwin McCravy(20065) About Me  (Show Source):
You can put this solution on YOUR website!

I didn't think you meant x as a base.  The x's then just cancel out,
and you get the same thing as the other tutors got, except to base 10
and not base x.  


2%2Alog%28%28xy%5E%281%2F3%29%29%29+%2B+log%28%28xy%5E2%29%29+-+3%2Alog%28%28xy%29%29



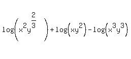
log%28%28x%5E2y%5E%282%2F3%29%29%29+%2B+log%28%28xy%5E2%29%29+-+log%28%28x%5E3y%5E3%29%29

log%28%28x%5E2y%5E%282%2F3%29xy%5E2%29%29+-+log%28%28x%5E3y%5E3%29%29

log%28%28x%5E3y%5E%282%262%2F3%29%29%29+-+log%28%28x%5E3y%5E3%29%29

log%28%28x%5E3y%5E%288%2F3%29%29%29+-+log%28%28x%5E3y%5E3%29%29

log%28%28%28x%5E3y%5E%288%2F3%29%29%2F%28x%5E3y%5E3%29%29%29

log%28%28++%221%2F%22%28y%5E%283-8%2F3%29++%29%29%29 ignore the dot.  It's "one over"

log%28%28++%221%2F%22%28y%5E%289%2F3-8%2F3%29++%29%29%29

log%28%28++%221%2F%22%28y%5E%281%2F3%29++%29%29%29

Edwin