SOLUTION: find the range and x and y intercepts of y=(4^x+2) - 3 and graph
Algebra
->
Logarithm Solvers, Trainers and Word Problems
-> SOLUTION: find the range and x and y intercepts of y=(4^x+2) - 3 and graph
Log On
Algebra: Logarithm
Section
Solvers
Solvers
Lessons
Lessons
Answers archive
Answers
Click here to see ALL problems on logarithm
Question 384029
:
find the range and x and y intercepts of y=(4^x+2) - 3 and graph
Answer by
robertb(5830)
(
Show Source
):
You can
put this solution on YOUR website!
Range is (-3,
). Y-intercept is
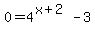
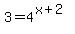
. X-intercept is found by solving
, or
. Take ln of both sides to get: ln3 = ln4(x+2), or ln3/ln4 = x+2, or
.