SOLUTION: Solve for x. log(6)(x+41)-log(6)(x+1)=2

Algebra ->  Logarithm Solvers, Trainers and Word Problems -> SOLUTION: Solve for x. log(6)(x+41)-log(6)(x+1)=2      Log On


   



Question 377922: Solve for x. log(6)(x+41)-log(6)(x+1)=2
Answer by jsmallt9(3758) About Me  (Show Source):
You can put this solution on YOUR website!
log%286%2C+%28x%2B41%29%29+-+log%286%2C+%28x%2B1%29%29+=+2
For equations where the variable is in the argument (or base) of a logarithm, you often start by transforming the equation into one of the following forms:
log(expression) = other-expression
or
log(expression) = log(other-expression)

Since the right side is already a "non-log" term, we will aim for the first form. We just need the left side to be a single logarithm. So somehow we need to combine the two base 6 logarithms on the left side into one base 6 logarithm.

Fortunately there is a property of logarithms, log%28a%2C+%28p%29%29+-+log%28a%2C+%28q%29%29+=+log%28a%2C+%28p%2Fq%29%29, which allows us to combine two logarithms of the same base (with coefficients of 1 and a minus sign between them) into a single logarithm of that base. Your two logarithms fit the pattern for this property so we can use it to combine them into one:
log%286%2C+%28%28x%2B41%29%2F%28x%2B1%29%29%29+=+2
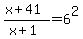
We have achieved the first form. With the first form the next step is to rewrite the equation in exponential form. In general log%28a%2C+%28p%29%29+=+q is equivalent to p+=+a%5Eq. Using this on your equation we get:
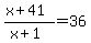
%28x%2B41%29%2F%28x%2B1%29+=+6%5E2
which simplifies to:
%28x%2B41%29%2F%28x%2B1%29+=+36
We now solve this equation. We'll start by eliminating the fraction by multiplying both sides by (x+1):
x + 41 = 36*(x + 1)
which simplifies to:
x+41 = 36x + 36
Subtract x from each side:
41 = 35x + 36
Subtract 36 from each side:
5 = 35x
Divide both sides by 35:
5%2F35+=+x
which reduces to:
1%2F7+=+x

When solving logarithmic equations it is important, not just a good idea, to check your answers. You must make sure that your solution(s) make all arguments (and bases) of logarithms remain positive. Any solution that makes an argument (or base) zero or negative must be rejected. And these rejected solutions can happen even when no mistakes were made in finding them! This is why it is important to check.

Always use the original equation to check:
log%286%2C+%28x%2B41%29%29+-+log%286%2C+%28x%2B1%29%29+=+2
Checking x = 1/7:
log%286%2C+%28%281%2F7%29%2B41%29%29+-+log%286%2C+%28%281%2F7%29%2B1%29%29+=+2
It should be easy to see that both arguments will be positive when x = 1/7. So there is no reason to reject it. (If an argument had been zero or negative we would reject our only solution! This would mean there are no solutions to the equation.)

The rest of the check will tell us if we did make a mistake. You are welcome to complete the check.