SOLUTION: Use the logarithm properties to condense: 1/3[2 ln(x+5) - lnx - ln(x^2-4)]

Algebra ->  Logarithm Solvers, Trainers and Word Problems -> SOLUTION: Use the logarithm properties to condense: 1/3[2 ln(x+5) - lnx - ln(x^2-4)]      Log On


   



Question 371352: Use the logarithm properties to condense:
1/3[2 ln(x+5) - lnx - ln(x^2-4)]

Answer by jsmallt9(3758) About Me  (Show Source):
You can put this solution on YOUR website!
%281%2F3%29%282%2Aln%28x%2B5%29+-+ln%28x%29+-+ln%28x%5E2-4%29%29
The three logarithms in the parentheses are not like terms so we cannot subtract them. However there is a property of logarithms, log%28a%2C+%28p%29%29+-+log%28a%2C+%28q%29%29+=+log%28a%2C+%28p%2Fq%29%29, which allows us to combine two logarithms into one if all of the following are true:
  • There is a mimus between them.
  • The bases of the logarithms are the same.
  • The coefficient of each logarithm is a 1.

Your logarithms meet the first two requirements. But the first logarithm has a coefficient of 2. Fortunately there is another property of logarithms, q%2Alog%28a%2C+%28p%29%29+=+log%28a%2C+%28p%5Eq%29%29, which allows us to "move" a coefficient into the argument as an exponent. So we start by using this property on the first logarithm:
%281%2F3%29%28ln%28%28x%2B5%29%5E2%29+-+ln%28x%29+-+ln%28x%5E2-4%29%29
Now we can use the first property on the first two logarithms:
%281%2F3%29%28ln%28%28x%2B5%29%5E2%2Fx%29+-+ln%28x%5E2-4%29%29
Next we can use the first property again to combine the remaining logarithms:
%281%2F3%29%28ln%28%28%28x%2B5%29%5E2%2Fx%29%2F%28x%5E2-4%29%29%29
which simplifies to:
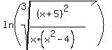
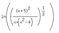
%281%2F3%29%28ln%28%28%28x%2B5%29%5E2%29%2F%28x%2A%28x%5E2-4%29%29%29%29
This may be condensed enough. But we can use the second property again to move the coefficient of 1/3:
ln%28%28%28%28x%2B5%29%5E2%29%2F%28x%2A%28x%5E2-4%29%29%29%5E%281%2F3%29%29
This may be the desired answer. Alternatively, since 1/3 as an exponent means "cube root", we could rewrite this as:
ln%28root%283%2C+%28%28x%2B5%29%5E2%29%2F%28x%2A%28x%5E2-4%29%29%29%29