SOLUTION: Solve for Y Log(2)(y-3)-log(2)(y=3) Y=

Algebra ->  Logarithm Solvers, Trainers and Word Problems -> SOLUTION: Solve for Y Log(2)(y-3)-log(2)(y=3) Y=      Log On


   



Question 364580: Solve for Y
Log(2)(y-3)-log(2)(y=3)
Y=

Answer by jsmallt9(3758) About Me  (Show Source):
You can put this solution on YOUR website!
I asume the equation is:
log%282%2C+%28y-3%29%29+-+log%282%2C+%28y%29%29+=+3%29
With equations where the variable is in the argument (or base) of a logarithm, you often start the solution to the equation by transforming the equation into one of the following forms:
log(expression) = other-expression
or
log(expression) = log(expression)

With the non-log term of 3 on the right side, the second form will be difficult to achieve. So we will aim for the first form. This will require that we find a way to combine the two logarithms into one. They are not like terms, because the arguments are different, so we cannot just subtract them. But we do have a property of logarithms, log%28a%2C+%28p%29%29+-+log%28a%2C+%28q%29%29+=+log%28a%2C+%28p%2Fq%29%29, which allows us to combine two subtracted logs (as long as the bases are the same and the coefficients are 1's. Your bases are both 2 and the coefficients are 1's so we can use this property to combine them. This gives us:
log%282%2C+%28%28y-3%29%2Fy%29%29+=+3%29
We now have achieved the first form. With this form the next step is to rewrite the equation in exponential form. In general, log%28a%2C+%28p%29%29+=+q can be rewritten as a%5Eq+=+p. Using this on your equation we get:
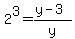
2%5E3+=+%28y-3%29%2Fy
which simplifies to:
8+=+%28y-3%29%2Fy
The logarithms are gone and we have a relatively simple equation to solve. We start by eliminating the fraction by multiplying both sides by y:
8y+=+y-3
Next we subtract y from each side:
7y+=+-3
And finally we divide by 7:
y+=+-3%2F7

When solving logarithmic equations it is important to check your answers. You must make sure that no arguments of any logarithms become zero or negative! And one should duse the original equation to check:
log%282%2C+%28y-3%29%29+-+log%282%2C+%28y%29%29+=+3%29
Checking y = -3/7:
log%282%2C+%28%28-3%2F7%29-3%29%29+-+log%282%2C+%28%28-3%2F7%29%29%29+=+3%29
As we can see, both arguments are negative when y = -3/7. So we must reject this solution. (Even if only one argument had been negative (or zero) we would still have to reject the solution.) Since this was the only solution we had, there are no solutions to your original equation!