SOLUTION: Use systematic trial and error to solve log50.
Algebra
->
Logarithm Solvers, Trainers and Word Problems
-> SOLUTION: Use systematic trial and error to solve log50.
Log On
Algebra: Logarithm
Section
Solvers
Solvers
Lessons
Lessons
Answers archive
Answers
Click here to see ALL problems on logarithm
Question 353884
:
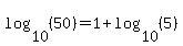
Use systematic trial and error to solve log50.
Answer by
jim_thompson5910(35256)
(
Show Source
):
You can
put this solution on YOUR website!
To make things simpler, notice that
or simply put,