SOLUTION: factorise 64x^3+1/27+16x^2+4/3x

Algebra ->  Logarithm Solvers, Trainers and Word Problems -> SOLUTION: factorise 64x^3+1/27+16x^2+4/3x      Log On


   



Question 353773: factorise 64x^3+1/27+16x^2+4/3x
Answer by jsmallt9(3758) About Me  (Show Source):
You can put this solution on YOUR website!
Factor (not factorise) 64x%5E3%2B1%2F27%2B16x%5E2%2B%284%2F3%29x
This one is a little tricky. The four terms do not have a Greatest Common Factor (GCF) other than 1. And four terms is too many for factoring by patterns or for trinomial factoring. So we are left with factoring by grouping or factoring by trial and error of the possible rational roots.

When factoring by grouping you usually look for subexpressions which will factor and which, after factoring, have a common factor between them. And many times the factoring of the subexpressions is just simple GCF factoring. But in this problem, the first two terms can be factored using a pattern. Let's see how this works.

First I'll group the two subexpressions which will be factored individually:
%2864x%5E3%2B1%2F27%29%2B%2816x%5E2%2B%284%2F3%29x%29
Since 64x%5E3+=+%284x%29%5E3 and 1%2F27+=+%281%2F3%29%5E3, the first subexpression is a sum of cubes which will factor according to the pattern: a%5E3+%2B+b%5E3+=+%28a%2Bb%29%28a%5E2+-ab+%2Bb%5E2%29. In the second subexpression we can factor out a GCF of 4x. Now we have:

which simplifies to:

We can now see that the two factored subexpressions have a common factor: %284x+%2B+1%2F3%29. Factoring this out from both subexpressions we get:
%284x+%2B+1%2F3%29%28%2816x%5E2+-+%284%2F3%29x+%2B+1%2F9%29+%2B+%284x%29%29
Simplifying the "other" factor:
%284x+%2B+1%2F3%29%2816x%5E2+-+%284%2F3%29x+%2B+1%2F9+%2B+%2812%2F3%29x%29
%284x+%2B+1%2F3%29%2816x%5E2+%2B+%288%2F3%29x+%2B+1%2F9%29
When factoring, always keep factoring until no more factoring can be done. And the second factor above will factor further. Since 16x%5E2+=+%284x%29%5E2 and 1%2F9+=+%281%2F3%29%5E2 and %288%2F3%29x+=+2%284x%29%281%2F3%29, the second factor fits the a%5E2+%2B+2ab+%2B+b%5E2+=+%28a%2Bb%29%5E2 pattern. Using this pattern to factor we get:
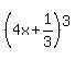
%284x+%2B+1%2F3%29%284x+%2B+1%2F3%29%5E2
which simplifies to:
%284x+%2B+1%2F3%29%5E3

This problem could be done much faster if...
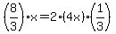
  • You know the pattern for %28a%2Bb%29%5E3 (which is not often taught):
    %28a%2Bb%29%5E3+=+a%5E3+%2B+3a%5E2%2Ab%2B3ab%5E2%2Bb%5E3
  • You rearrange the terms in order of exponents (highest to lowest):
    64x%5E3%2B16x%5E2%2B%284%2F3%29x%2B1%2F27
  • Recognize that the above expression fits the pattern for a%5E3+%2B+b%5E3 with the "a" being 4x and the "b" being 1/3:

If all of the above were true then we could go straight from
64x%5E3%2B16x%5E2%2B%284%2F3%29x%2B1%2F27
to
%284x+%2B+1%2F3%29%5E3