Question 347823: Find upto 3 sf the value of x where
base 2 log of (2x+1)- base 2 log of x = 2
Thank you!
Answer by jsmallt9(3758) (Show Source):
You can put this solution on YOUR website! 
To solve equations where the variable is in the argument of one ore more logarithms, you usually start by transforming the equation into one of the following forms:
log(expression) = other-expression
or
log(expression) = log(other-expression)
These transformations are done using regular Algebra and/or properties of logarithms. In this problem we can use a property of logarithms, , to combine the two logarithms on the left side of the equation into one. This will transform the equation into the first of the desired forms:

With this first form the next step is to rewrite the equation in exponential form. In general, can be rewritten in the exponential form: . Your equation can be rewritten as:

This equation has no logarithms and is fairly simple to solve. First we simplify:

Then we get rid of the fraction by multiplying both sides by x:

Get the x terms on one side (by subtracting 2x from each side):

Divide both sides by 2:

When solving logarithmic equations it is important, not just a good idea, to check your answers. You must make sure that all arguments of logarithms are positive. Use the original equation to check.

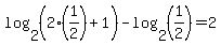
Checking x = 1/2:

Simplify:


Both arguments are positive so the answer looks good so far. (If either one had turned out zero or negative we would have to reject this solution. And since this was the only solution we had, we would end of with no solution to this equation!)
By definition, the first log is equal to 1. For the second logarithm we need to understand what it represents. It represents the exponent for 2, the base, that results in 1/2. In other words, 2 to what power is 1/2? The answer to that question is equal to . If we know our exponents well we know that so the log is -1. Substituting these values in for the two logs we get:

which simplifies to:
Check!
|
|
|