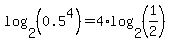
SOLUTION: can you explain how to do this problem please, i am trying so hard to understand how to do these, but i just do not get it :( log2(0.5)^4
Algebra
->
Logarithm Solvers, Trainers and Word Problems
-> SOLUTION: can you explain how to do this problem please, i am trying so hard to understand how to do these, but i just do not get it :( log2(0.5)^4
Log On
Algebra: Logarithm
Section
Solvers
Solvers
Lessons
Lessons
Answers archive
Answers
Click here to see ALL problems on logarithm
Question 345014
:
can you explain how to do this problem please, i am trying so hard to understand how to do these, but i just do not get it :(
log2(0.5)^4
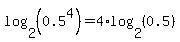
Answer by
Fombitz(32388)
(
Show Source
):
You can
put this solution on YOUR website!