Question 34026This question is from textbook college algebra
: i am having a hard time answering these problems.
1. x=8log(100,10)
2. logx (1/16)=-2
3. log(x)=square root log(x)
This question is from textbook college algebra
Found 2 solutions by xcentaur, MathTherapy: Answer by xcentaur(357) (Show Source):
You can put this solution on YOUR website! 1. 
we know that
OR
therefore,

so we get,
x=8(1/2)=4
2. logx (1/16)=-2
take x to the other side,so we get




therefore,x=4
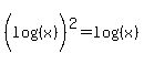
3. log(x)=square root log(x)
square both sides,
[log(x)]^2=[log(x)]
using property of logs we get,
2logx=logx
2logx-logx=0
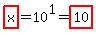
logx=0
now look at this,
log8 to the base 2=*3*
so 8=2 raised to *3*
instead of 3 if we put 0,instead of 8 we will get 1
so any number raised to zero becomes one,so we get
x=1
hope this helps,
-xC
Answer by MathTherapy(10699) (Show Source):
|
|
|