SOLUTION: solve for x log8(6x+14)-log8(x+1)=2
Algebra
->
Logarithm Solvers, Trainers and Word Problems
-> SOLUTION: solve for x log8(6x+14)-log8(x+1)=2
Log On
Algebra: Logarithm
Section
Solvers
Solvers
Lessons
Lessons
Answers archive
Answers
Click here to see ALL problems on logarithm
Question 325394
:
solve for x
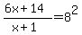
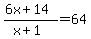
log8(6x+14)-log8(x+1)=2
Answer by
nerdybill(7384)
(
Show Source
):
You can
put this solution on YOUR website!
solve for x