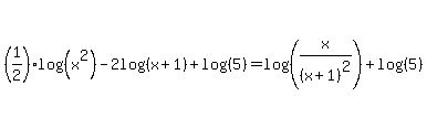
SOLUTION: Write as a single log: 1/2logx^2 - 2log(x+1) + log5
Algebra
->
Logarithm Solvers, Trainers and Word Problems
-> SOLUTION: Write as a single log: 1/2logx^2 - 2log(x+1) + log5
Log On
Algebra: Logarithm
Section
Solvers
Solvers
Lessons
Lessons
Answers archive
Answers
Click here to see ALL problems on logarithm
Question 324033
:
Write as a single log: 1/2logx^2 - 2log(x+1) + log5
Answer by
Fombitz(32388)
(
Show Source
):
You can
put this solution on YOUR website!