SOLUTION: solve. where appropriate, include approximations to the nearest thousandth. If no solution exists, state this. log x = 1
Algebra
->
Logarithm Solvers, Trainers and Word Problems
-> SOLUTION: solve. where appropriate, include approximations to the nearest thousandth. If no solution exists, state this. log x = 1
Log On
Algebra: Logarithm
Section
Solvers
Solvers
Lessons
Lessons
Answers archive
Answers
Click here to see ALL problems on logarithm
Question 315359
:
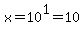
solve. where appropriate, include approximations to the nearest thousandth. If no solution exists, state this.
log x = 1
Answer by
Fombitz(32388)
(
Show Source
):
You can
put this solution on YOUR website!