SOLUTION: How do you solve this equation? 6.2e^(0.64t)=3e(t+1)

Algebra ->  Logarithm Solvers, Trainers and Word Problems -> SOLUTION: How do you solve this equation? 6.2e^(0.64t)=3e(t+1)      Log On


   



Question 313535: How do you solve this equation? 6.2e^(0.64t)=3e(t+1)
Answer by Fombitz(32388) About Me  (Show Source):
You can put this solution on YOUR website!
I'm assuming this is your equation.
6.2e%5E%280.64t%29=3e%5E%28t%2B1%29
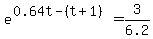
e%5E%280.64t%29%2Fe%5E%28t%2B1%29=3%2F6.2
e%5E%280.64t-%28t%2B1%29%29=3%2F6.2
e%5E%280.64t-t-1%29=3%2F6.2
e%5E%28-0.36t-1%29=3%2F6.2
-0.36t-1=ln%283%2F6.2%29
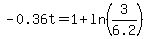
-0.36t=1%2Bln%283%2F6.2%29
highlight%28t=-%281%2Bln%283%2F6.2%29%29%2F0.36%29