SOLUTION: Condense 3[log x-log(x+2)]

Algebra ->  Logarithm Solvers, Trainers and Word Problems -> SOLUTION: Condense 3[log x-log(x+2)]      Log On


   



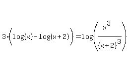
Question 292720: Condense
3[log x-log(x+2)]

Answer by jim_thompson5910(35256) About Me  (Show Source):
You can put this solution on YOUR website!
In this problem, we're going to use the identities:

1) y%2Alog%28%28x%29%29=log%28%28x%5Ey%29%29
2) log%28%28A%29%29-log%28%28B%29%29=log%28%28A%2FB%29%29


Using the identities (and a bit of simplification), we get




So 3%28log%28%28x%29%29-log%28%28x%2B2%29%29%29=log%28%28%28x%5E3%29%2F%28x%2B2%29%5E3%29%29