Question 282150: How do you solve these two equations for x?
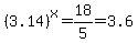
5(3.14)^x=18
7x^8=294
Answer by jsmallt9(3758) (Show Source):
You can put this solution on YOUR website! For both problems, start by isolating the base and its exponent.

Divide both sides by 5:

and

Divide both sides by 7:

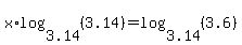
Then with the first equation, with the variable in the exponent, we use logarithms. You can choose any base for the logarithm. However the simplest form of the exact answer will be found if we use the same base of logarithm as the base of the exponent. So I will use base 3.14 logarithms:

Now we can use the property of exponents, , to move the exponent of the argument out in front. This property is the very reason we use logarithms on equations like this. It allows us to move the variable out of an exponent. This gives us:

and since by definition:

which is the simplest expression of the exact solution. If you want a decimal approximation for the answer, then use the base conversion formula, , to convert the base 3.14 logarithm into a base your calculator "knows" (like base 10 or base e (ln)):

and then use your calculator.
Our second equation says x to the 8th power is 42. With some thought we should realize that there will be both a positive and a negative number which, when raised to the 8th power, results in 42. This is why we end up with two solutions for this equation.
With the second equation the variable is not in the exponent so we will not be using logarithms. With this equation we just want the exponent on x to turn into a 1 somehow. Since multiplying reciprocals always results in a 1 and since exponents are multiplied when raising powers to a power, we just raise both sides to the "reciprocal of 8" power:

which simplifies to:
or 
Since 1/8 as an exponent means 8th root we can rewrite these as:
or 
If you want a decimal approximation, then raise 42 to the 1/8 power with your calculator.
|
|
|