SOLUTION: Hi, I was wondering how to complete this problem: Evaluate: 3(log (base 2) 2)^5 ( I hope that makes sense-there is a base of 2 and an argument of 2) I tried 3(log 2/log 2) ^5

Algebra ->  Logarithm Solvers, Trainers and Word Problems -> SOLUTION: Hi, I was wondering how to complete this problem: Evaluate: 3(log (base 2) 2)^5 ( I hope that makes sense-there is a base of 2 and an argument of 2) I tried 3(log 2/log 2) ^5      Log On


   



Question 27966: Hi, I was wondering how to complete this problem:
Evaluate: 3(log (base 2) 2)^5 ( I hope that makes sense-there is a base of 2 and an argument of 2)
I tried 3(log 2/log 2) ^5 and also (log (base 2)2^5)^3 but I don't think either is right.
Thanks so much!

Answer by bmauger(101) About Me  (Show Source):
You can put this solution on YOUR website!
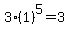
3%28log%282%2C2%29%29%5E5
If that's what you mean, then log%282%2C2%29=1 Right? Because 2 base 2 means "To what power of 2 is 2? And the answer is 1: 2 to the 1st power is 2.
3%281%29%5E5=3 I hope I'm answering the right question? If not, maybe try rewriting it