SOLUTION: If log2=0.3010 and log3=0.4771, find the value of : 7 log 10/9 -2 log 25/24 +3 log 31/80

Algebra ->  Logarithm Solvers, Trainers and Word Problems -> SOLUTION: If log2=0.3010 and log3=0.4771, find the value of : 7 log 10/9 -2 log 25/24 +3 log 31/80      Log On


   



Question 279144: If log2=0.3010 and log3=0.4771, find the value of :
7 log 10/9 -2 log 25/24 +3 log 31/80

Answer by jsmallt9(3758) About Me  (Show Source):
You can put this solution on YOUR website!
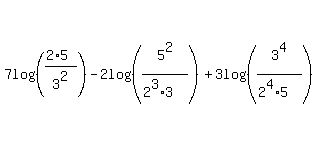
7log%28%2810%2F9%29%29+-2log%28%2825%2F24%29%29+%2B+3log%28%2831%2F80%29%29
I don't think the problem can be done without a calculator with that 31 in there. So I am going to assume that the 31 should be an 81 instead:
7log%28%2810%2F9%29%29+-2log%28%2825%2F24%29%29+%2B+3log%28%2881%2F80%29%29
I am going to start by factor the numbers in the arguments into prime factors:

Next I'll use the property of logarithms, q%2Alog%28a%2C+%28p%29%29+=+log%28a%2C+%28p%5Eq%29%29, to move the coefficients of the logarithms into the arguments as exponents:

Using rules for exponents in the argument to simplify we get:

Next I'll use the properties of logarithms:
  • log%28a%2C+%28p%29%29+%2B+log%28a%2C+%28q%29%29+=+log%28a%2C+%28p%2Aq%29%29
  • log%28a%2C+%28p%29%29+-+log%28a%2C+%28q%29%29+=+log%28a%2C+%28p%2Fq%29%29

to combine the three logarithms into one:

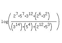
Now we simplify this:

log%28%28+%282%5E13%2A5%5E7%2A3%5E14%29%2F%283%5E14%2A5%5E7%2A2%5E12%29+%29%29
log%28%28+2+%29%29
which, by the information you've been given is 0.3010