SOLUTION: log base 5 of 24
Algebra
->
Logarithm Solvers, Trainers and Word Problems
-> SOLUTION: log base 5 of 24
Log On
Algebra: Logarithm
Section
Solvers
Solvers
Lessons
Lessons
Answers archive
Answers
Click here to see ALL problems on logarithm
Question 278792
:
log base 5 of 24
Answer by
Alan3354(69443)
(
Show Source
):
You can
put this solution on YOUR website!
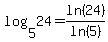
log base 5 of 24
-----------------
Use the base change
=~ 1.974636
----------------
Common logs or natural logs work the same:
=~ 1.974636