SOLUTION: The solution for x of the equation log(base x)2 + log(base x^2)3 = 10 can be written in the simplified form (index a, radicand b). Find b - a. Help! I don't understand what thi

Algebra ->  Logarithm Solvers, Trainers and Word Problems -> SOLUTION: The solution for x of the equation log(base x)2 + log(base x^2)3 = 10 can be written in the simplified form (index a, radicand b). Find b - a. Help! I don't understand what thi      Log On


   



Question 275650: The solution for x of the equation log(base x)2 + log(base x^2)3 = 10 can be written in the simplified form (index a, radicand b). Find b - a.
Help! I don't understand what this question is asking or how to solve it step by step.

Answer by jsmallt9(3758) About Me  (Show Source):
You can put this solution on YOUR website!
log%28x%2C+%282%29%29+%2B+log%28x%5E2%2C+%283%29%29+=+10
To solve this we need to combine the two logarithms into one. And to combine the two logarithms, whether by adding or by using the properties of logarithms, we need to have the same base. So we will start by getting the bases the same.

Fortunately there is a formula for conversion of bases of logarithms: log%28p%2C+%28z%29%29+=+log%28q%2C+%28z%29%29%2Flog%28q%2C+%28p%29%29. We will use this to convert the base of the first logarithm, which is x, into an expression involving logarithms with a base of x%5E2:
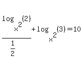
log%28x%5E2%2C+%282%29%29%2Flog%28x%5E2%2C+x%29+%2B+log%28x%5E2%2C+%283%29%29+=+10
If we really understand logarithms we will see how the denominator, log%28x%5E2%2C+%28x%29%29 can be simplified. log%28x%5E2%2C+%28x%29%29 represents the exponent for x%5E2 that results in x. So what power of x%5E2 is x? With some thought I hope you will see that %28x%5E2%29%5E%281%2F2%29+=+x. So log%28x%5E2%2C+%28x%29%29+=+1%2F2:
log%28x%5E2%2C+%282%29%29%2F%281%2F2%29+%2B+log%28x%5E2%2C+%283%29%29+=+10
which simplifies to:
2%2Alog%28x%5E2%2C+%282%29%29+%2B+log%28x%5E2%2C+%283%29%29+=+10
We now have the logarithms with the same base. These are not like terms (because the arguments are different) so we cannot add them. But there is a property of logarithms, log%28a%2C+%28p%29%29+%2B+log%28a%2C+%28q%29%29+=+log%28a%2C+%28p%2Aq%29%29, which allows us to combine two logarithms of the same base which have a "+" between them.

But this property requires that the logarithms have 1's in front of them. Somehow we need to get rid of the 2 in front of the first log before we use this property. Another property of logarithms, q%2Alog%28a%2C+%28p%29%29+=+log%28a%2C+%28p%5Eq%29%29, which allows us to move a number from in front of a log into the argument of the log as an exponent. Using this property on the first log we get:
log%28x%5E2%2C+%282%5E2%29%29+%2B+log%28x%5E2%2C+%283%29%29+=+10
which simplifies to:
log%28x%5E2%2C+%284%29%29+%2B+log%28x%5E2%2C+%283%29%29+=+10
Now we can use the earlier property to combine the two logarithms:
log%28x%5E2%2C+%284%2A3%29%29+=+10
which simplifies to:
log%28x%5E2%2C+%2812%29%29+=+10
Now that we've finally combined the two logarithms we can solve the equation. We start by rewriting the equation in exponential form:
12+=+%28x%5E2%29%5E10
which simplifies to:
12+=+x%5E20
Now we can solve by finding the 20th root of each side:
root%2820%2C+12%29+=+root%2820%2C+x%5E20%29
which simplifies to:
root%2820%2C+12%29+=+x

This makes the index (aka "a") 20 and the radicand (aka "b") 12. b-a = 12 - 20 = -8.

P.S. If you learn of an easier solution I'd appreciate it if you use Algebra.com's "thank you" facility to describe it for me. The whole b-a thing has me thinking that there is a simple solution (which I do not yet see). Thanks.