SOLUTION: Could you help me express this as a single logarithm? {{{(-3logc^5)+(10logc^(1/2))-(5logd^2)-(2logc^-3)+(logd^2)}}}
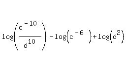
I went from there to {{{(logc^-15)+(logc^5)-(logd^10)-(logc^-6)
Algebra ->
Logarithm Solvers, Trainers and Word Problems
-> SOLUTION: Could you help me express this as a single logarithm? {{{(-3logc^5)+(10logc^(1/2))-(5logd^2)-(2logc^-3)+(logd^2)}}}
I went from there to {{{(logc^-15)+(logc^5)-(logd^10)-(logc^-6)
Log On
You can put this solution on YOUR website! You've done very well so far. Next we need to combine these four logarithms into one. These are not like terms so we cannot add or subtract them. But we do have a couple of properties which will allow us to combine logarithms:
So we can use the first property to combine the first two logarithms:
which simplifies to:
Now we can use the second property to combine the first two logarithms:
Again we can use the second property to combine the first two logarithms:
which simplifies to:
Using the rule of exponents for division on the c's we get:
Now we can use the first property to combine the remaining logarithms:
which simplifies to:
or