SOLUTION: log base 2 (x+1) = log base 8 (3x). solve x.

Algebra ->  Logarithm Solvers, Trainers and Word Problems -> SOLUTION: log base 2 (x+1) = log base 8 (3x). solve x.      Log On


   



Question 270091: log base 2 (x+1) = log base 8 (3x). solve x.
Answer by jsmallt9(3758) About Me  (Show Source):
You can put this solution on YOUR website!
log%282%2C+%28x%2B1%29%29+=+log%288%2C+%283x%29%29
If both of the logarithms had the same base we could simply say
x+1 = 3x
and solve it. But the bases are not the same, yet. We will start by changing the base 8 logarithm to an expression of base 2 logarithms. The formula for changing bases is: log%28a%2C+%28x%29%29+=+log%28b%2C+%28x%29%29%2Flog%28b%2C+%28a%29%29. Using this to change the base 8 log to an expression of base 2 logs we get:
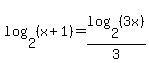
log%282%2C+%28x%2B1%29%29+=+log%282%2C+%283x%29%29%2Flog%282%2C+%288%29%29
And since 2%5E3+=+8 then log%282%2C+%288%29%29+=+3. Substituting this into our equation we get:
log%282%2C+%28x%2B1%29%29+=+log%282%2C+%283x%29%29%2F3
Next we need to get rid of the fraction so we'll multiply both sides by 3:
3%2Alog%282%2C+%28x%2B1%29%29+=+log%282%2C+%283x%29%29
Next the 3 needs to be moved. We have a property of logarithms, q%2Alog%28a%2C+%28p%29%29+=+log%28a%2C+%28p%5Eq%29%29, which allows us to move a coefficient into the argument as an exponent. Using this on your equation we get:
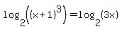
log%282%2C+%28%28x%2B1%29%5E3%29%29+=+log%282%2C+%283x%29%29
We now have an equation that says that two base 2 logarithms are equal. And if the logs are equal then their arguments must be equal:
%28x%2B1%29%5E3+=+3x
This is an equation we could try to solve. Cubing the left side we get:
x%5E3+%2B+3x%5E2+%2B+3x+%2B+1+=+3x
Subtracting 3x from each side we get:
x%5E3+%2B+3x%5E2+%2B+1+=+0
Normally we would try to factor the left side. But there is no method of factoring I know of that will factor it. So we are stuck. (This makes we wonder if you posted the question correctly.)

If we graph y+=+x%5E3+%2B+3x%5E2+%2B+1 and look for where the graph crosses the x-axis (where y is zero), we can make a guess at the solution:
graph%28400%2C+400%2C+-5%2C+5%2C+-5%2C+5%2C+x%5E3+%2B+3x%5E2+%2B+1%29
From this graph we can see that our solution is a number somewhere near -3.1 or -3.2