SOLUTION: The expression 3logx−2log(x^2+1)+4log(x−1) can be written as a single logarithm log(A) where the expression A=?

Algebra ->  Logarithm Solvers, Trainers and Word Problems -> SOLUTION: The expression 3logx−2log(x^2+1)+4log(x−1) can be written as a single logarithm log(A) where the expression A=?      Log On


   



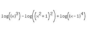
Question 261905: The expression 3logx−2log(x^2+1)+4log(x−1) can be written as a single logarithm log(A) where the expression A=?
Answer by jsmallt9(3758) About Me  (Show Source):
You can put this solution on YOUR website!
3log%28%28x%29%29-2log%28%28x%5E2%2B1%29%29%2B4log%28%28x-1%29%29
To actually add or subtract logarithms you have to have logarithms with the same base and argument. For example, log%283%2C+%283x%29%29+%2B+4log%283%2C+%283x%29%29+=+5log%283%2C+%283x%29%29. Your logarithms all are base 10 logarithms but the arguments are different so you cannot simply add and subtract them.

But there are two properties which we can use to combine logarithms of the same base:
  • log%28a%2C+%28p%29%29+%2B+log%28a%2C+%28q%29%29+=+log%28a%2C+%28p%2Aq%29%29
  • log%28a%2C+%28p%29%29+-+log%28a%2C+%28q%29%29+=+log%28a%2C+%28p%2Fq%29%29
I used the word "combine" because these properties do not actually add or subtract logarithms. But they do allow us to combine the addition or subtraction of two logarithms into a single logarithm. (Note how the problem does not mention add or subtract. It just says rewrite as a single logarithm.)

These two properties require that the coefficients of the logarithms (the numbers in front) are 1's. Your logarithms have coefficients of 3, 2 and 4. Fortunately there is another property of logarithms, q%2Alog%28a%2C+%28p%29%29+=+log%28a%2C+%28p%5Eq%29%29, which allows us to move coefficients of logs into the argument of the log as an exponent of the argument. So we will have to use this property first to make all the coefficients 1's:

Now we can use the first two properties to combine these logs. First we'll use the second property on the first two logs. (We use the second property because your first two logs are being subtracted.)
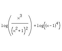
log%28%28x%5E3%2F%28x%5E2%2B1%29%5E2%29%29+%2B+log%28%28%28x-1%29%5E4%29%29
Your remaining logs are being added so we'll use the first property on them:
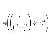
log%28%28%28x%5E3%2F%28x%5E2%2B1%29%5E2%29%28x-1%29%5E4%29%29
or
log%28%28%28x%5E3%2A%28x-1%29%5E4%29%2F%28x%5E2%2B1%29%5E2%29%29
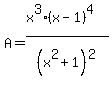
So A+=+%28x%5E3%2A%28x-1%29%5E4%29%2F%28x%5E2%2B1%29%5E2. (This is probably an acceptable answer. Or you could choose to multiply out the numerator and denominator.)