base is 2 for all
I think you meant
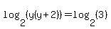
In algebra.com triple bracket notation, that's written


Anyway,
Use the principle of logs:
to rewrite the left side:
Now use the principle that if
then
;
;
Now we must dicard the answer
,
because if we were to substitute that into
the original equation, the first term would be
and logs of negative numbers
are not defined as real numbers. So the only
solution is
Edwin