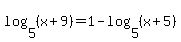
SOLUTION: log base 5(x+9)=1-log base 5(x+5)

Algebra ->  Logarithm Solvers, Trainers and Word Problems -> SOLUTION: log base 5(x+9)=1-log base 5(x+5)       Log On


   



Question 255790: log base 5(x+9)=1-log base 5(x+5)

Answer by jsmallt9(3758) About Me  (Show Source):
You can put this solution on YOUR website!
log%285%2C+%28x%2B9%29%29+=+1+-+log%285%2C+%28x%2B5%29%29

Solving equations of like this (where the variable is in the argument of one or more logarithms) usually starts with transforming the equation into one of the following forms:
log(variable-expression) = other-expression
or
log(variable-expression) = log(other-expression)

Since your equation has that term of 1 on the right side, the second form will not be easy to achieve. So we will aim for the first form. This means we want the logarithm(s) on one side and the non-logarithmic terms on the other. By adding log%285%2C+%28x%2B5%29%29 to each side we will get the logarithms on one side and the 1 by itself on the right side:
log%285%2C+%28x%2B9%29%29+%2B+log%285%2C+%28x%2B5%29%29+=+1
Now, to fit the first form, we need to combine the two logarithms into one. Fortunately we have a property of logarithms, log%28a%2C+%28p%29%29+%2B+log%28a%2C+%28q%29%29+=+log%28a%2C+%28p%2Aq%29%29 which allows us to do just that:
log%285%2C+%28%28x%2B9%29%28x%2B5%29%29%29+=+1
After simplifying the argument we get:
log%285%2C+%28x%5E2+%2B+14x+%2B+45%29%29+=+1
This matches the first form. Once we have an equation in this form we rewrite the equation in exponential form using the fact that log%28a%2C+%28p%29%29+=+q is equivalent to p+=+a%5Eq:
x%5E2+%2B+14x+%2B+45+=+5%5E1
which simplifies to
x%5E2+%2B+14x+%2B+45+=+5
After all this work we now have a "normal" quadratic equation we can solve. First we'll get one side equal to zero by subtraction 5 from each side:
x%5E2+%2B+14x+%2B+40+=+0
Next we'll factor (or use the quadratic formula):
%28x%2B10%29%28x%2B4%29+=+0
By the Zero Product Property we know that this product can only be zero if one of the factors is zero:
x%2B10+=+0 or x%2B4+=+0
Solving these we get:
x+=+-10 or x+=+-4

When you solve logarithmic equations it is important to check your answers. We must make sure that no arguments of any logarithms becomes zero or negative.
log%285%2C+%28x%2B9%29%29+=+1+-+log%285%2C+%28x%2B5%29%29
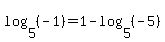
Checking x = -10:
log%285%2C+%28%28-10%29%2B9%29%29+=+1+-+log%285%2C+%28%28-10%29%2B5%29%29
which simplifies to:
log%285%2C+%28-1%29%29+=+1+-+log%285%2C+%28-5%29%29
As we can see, the arguments of both logarithms are negative. So we must reject this solution. (Note: If even only one argument became zero or negative we would still have to reject the solution.)

Checking x = -10:
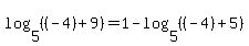
log%285%2C+%28%28-4%29%2B9%29%29+=+1+-+log%285%2C+%28%28-4%29%2B5%29%29
which simplifies to:
log%285%2C+%285%29%29+=+1+-+log%285%2C+%281%29%29
As we can see, the arguments of both logarithms are positive. So there is no reason to reject this solution. We can go ahead and finish checking. Since log%285%2C+%285%29%29 is 1 and log%285%2C+%281%29%29 is zero we get:
1+=+1+-+0
which checks out. So our only solution is x = -4.