SOLUTION: Use the properites of logarithns to condende the expression: 1/2[3log(w-4)+2log(w+5)-log7]

Algebra ->  Logarithm Solvers, Trainers and Word Problems -> SOLUTION: Use the properites of logarithns to condende the expression: 1/2[3log(w-4)+2log(w+5)-log7]      Log On


   



Question 254610: Use the properites of logarithns to condende the expression:
1/2[3log(w-4)+2log(w+5)-log7]

Answer by drk(1908) About Me  (Show Source):
You can put this solution on YOUR website!
Here is the original problem:
%281%2F2%29%2A%283log%28w-4%29%2B2log%28w%2B5%29-log%287%29%29
First take the 3 and 2 up as exponents [power rule] as
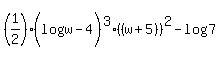
%281%2F2%29%2A%28log%28w-4%29%29%5E3+%2B+%28log%28w%2B5%29%29%5E2-log%287%29
Second, multiply log(w-4))^3 + (log(w+5))^2 to get
%281%2F2%29%2A%28log%28w-4%29%29%5E3%2A%28%28w%2B5%29%29%5E2-log%287%29
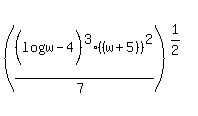
Third, divide by log(7) to get
%28%281%2F2%29%2A%28log%28w-4%29%29%5E3%2A%28%28w%2B5%29%29%5E2%29%2F%287%29
Last bring the front 1/2 as a power as
%28%28log%28w-4%29%29%5E3%2A%28%28w%2B5%29%29%5E2%2F%287%29%29%5E%281%2F2%29