SOLUTION: A GIC pays 6% per annum. How long would it take $3000 to grow to $ 6000?

Algebra ->  Logarithm Solvers, Trainers and Word Problems -> SOLUTION: A GIC pays 6% per annum. How long would it take $3000 to grow to $ 6000?       Log On


   



Question 252185: A GIC pays 6% per annum. How long would it take $3000 to grow to $ 6000?
Answer by Edwin McCravy(20077) About Me  (Show Source):
You can put this solution on YOUR website!
A GIC pays 6% per annum. How long would it take $3000 to grow to $ 6000?

A+=+P%281%2Br%2Fn%29%5E%28nt%29

We solve for t:

P%281%2Br%2Fn%29%5E%28nt%29=A

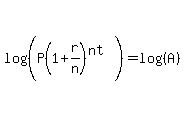
Take logs of both sides:

log%28%28P%281%2Br%2Fn%29%5E%28nt%29%29%29=log%28%28A%29%29

Use a rule of the log of a product:

log%28%28P%29%29%2Blog%28%281%2Br%2Fn%29%5E%28nt%29%29=log%28%28A%29%29

Subtract log%28%28P%29%29 from both sides:

log%28%281%2Br%2Fn%29%5E%28nt%29%29=log%28%28A%29%29-log%28%28P%29%29

Use a rule of the log of a power:

nt%2Alog%28%281%2Br%2Fn%29%29=log%28%28A%29%29-log%28%28P%29%29


Divide both sides by n%2Alog%28%281%2Br%2Fn%29%29

t+=+%28log%28%28A%29%29-log%28%28P%29%29%29%2F%28n%2Alog%28%281%2Br%2Fn%29%29%29

In your problem, 

P = 3000
A = 6000
r = 6% = .06
n = 1   (per annum)



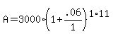
The 11th year the amount would be 

A+=+P%281%2Br%2Fn%29%5E%28nt%29
A+=+3000%281%2B.06%2F1%29%5E%281%2A11%29
A+=+%22%245694.89%22  [Interest-payers always round down to the lower penny,
                       never up to the higher penny]

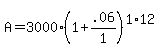
The 12th year it would be

A+=+P%281%2Br%2Fn%29%5E%28nt%29
A+=+3000%281%2B.06%2F1%29%5E%281%2A12%29
A+=+%22%246036.58%22 

So the 12th year would be the first time it would
have been at least $6000.

Edwin