SOLUTION: 10xsuared-2x-4=0 How do i work that out
Algebra
->
Logarithm Solvers, Trainers and Word Problems
-> SOLUTION: 10xsuared-2x-4=0 How do i work that out
Log On
Algebra: Logarithm
Section
Solvers
Solvers
Lessons
Lessons
Answers archive
Answers
Click here to see ALL problems on logarithm
Question 25133
:
10xsuared-2x-4=0
How do i work that out
Answer by
Earlsdon(6294)
(
Show Source
):
You can
put this solution on YOUR website!
Solve:
Factor a 2.
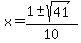
Use the quadratic formula:
Solution: