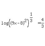
SOLUTION: Can you please help me with this logarithm equation.. & can you please do it step by step?!?!? I'm gonna try to write this the best I can... log cube root of ((9x-8)^2) = 4/3

Algebra ->  Logarithm Solvers, Trainers and Word Problems -> SOLUTION: Can you please help me with this logarithm equation.. & can you please do it step by step?!?!? I'm gonna try to write this the best I can... log cube root of ((9x-8)^2) = 4/3      Log On


   



Question 251116: Can you please help me with this logarithm equation.. & can you please do it step by step?!?!? I'm gonna try to write this the best I can...
log cube root of ((9x-8)^2) = 4/3

Found 2 solutions by solver91311, JimboP1977:
Answer by solver91311(24713) About Me  (Show Source):
You can put this solution on YOUR website!




I presume base 10 because you didn't specify a base.

Use rational exponents, which is to say use the rule:



to write:



Now use the rule of logarithms that says:



to write:



Multiply both sides of the equation by



Use the definition of logarithms:



To write:



Then solve the simple linear equation for


John


But aren't there two solutions John?

Answer by JimboP1977(311) About Me  (Show Source):
You can put this solution on YOUR website!
Assuming you are using a log of base 10.
log+%28%28%289x-8%29%5E2%29%5E%281%2F3%29%29+=+4%2F3 "^(1/3)" is another way of saying cube root.
%281%2F3%29+%2A+log%28%289x-8%29%5E2%29+=+4%2F3 using log rule 3
+log+%28%289x-8%29%5E2%29+=+4 divide both sides by 1/3, (4/3)/(1/3) = (4/3)*(3/1)
+%289x-8%29%5E2+=+10000 inverse of log base 10 is 10^x,10^4 = 10000
take the square root of both sides, remember the roots will be negative and positive
+%289x-8%29+=+100 OR %289x-8%29+=+-100
Rearrange to find x
+x+=+12 OR x=+-%2892%2F9%29
Does that make sense?