SOLUTION: this question is killing me! 16^X + 4^X+1 - 3= 0

Algebra ->  Logarithm Solvers, Trainers and Word Problems -> SOLUTION: this question is killing me! 16^X + 4^X+1 - 3= 0      Log On


   



Question 243732: this question is killing me!
16^X + 4^X+1 - 3= 0

Found 2 solutions by stanbon, jim_thompson5910:
Answer by stanbon(75887) About Me  (Show Source):
You can put this solution on YOUR website!
16^X + 4^X+1 - 3= 0
---------------------------
Is that "1" part of the exponent?
Please use some parentheses.
Cheers,
Stan H.

Answer by jim_thompson5910(35256) About Me  (Show Source):
You can put this solution on YOUR website!
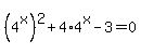
Hint: We can write 16%5Ex%2B4%5E%28x%2B1%29-3=0 as %284%5Ex%29%5E2%2B4%2A4%5Ex-3=0. If we let z=4%5Ex, then we get z%5E2%2B4z-3=0. From here, solve for 'z'. Once you have solution(s) in terms of 'z', plug them into z=4%5Ex to find solution(s) in terms of 'x'