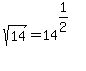
SOLUTION: write in logarithmic form:square root 14 =x
Algebra
->
Logarithm Solvers, Trainers and Word Problems
-> SOLUTION: write in logarithmic form:square root 14 =x
Log On
Algebra: Logarithm
Section
Solvers
Solvers
Lessons
Lessons
Answers archive
Answers
Click here to see ALL problems on logarithm
Question 242945
:
write in logarithmic form:square root 14 =x
Answer by
jim_thompson5910(35256)
(
Show Source
):
You can
put this solution on YOUR website!
Hint: Recall that the equation
can be rewritten as
. Also, take note that