SOLUTION: please help me solve the problem log(b^2)(x)+log(x^2)b=1, b>0, b not equal to 1, x not equal to 1. Sove for x. Please note b^2 and x^2 are subscripts (bases).

Algebra ->  Logarithm Solvers, Trainers and Word Problems -> SOLUTION: please help me solve the problem log(b^2)(x)+log(x^2)b=1, b>0, b not equal to 1, x not equal to 1. Sove for x. Please note b^2 and x^2 are subscripts (bases).       Log On


   



Question 242901: please help me solve the problem log(b^2)(x)+log(x^2)b=1, b>0, b not equal to 1, x not equal to 1. Sove for x. Please note b^2 and x^2 are subscripts (bases).

Answer by jim_thompson5910(35256) About Me  (Show Source):
You can put this solution on YOUR website!
log%28b%5E2%2C%28x%29%29%2Blog%28x%5E2%2C%28b%29%29=1 Start with the given equation.


Use the change of base formula.


Pull down the exponents using the identity log%28b%2C%28x%5Ey%29%29=y%2Alog%28b%2C%28x%29%29


Pull out the constants.


Factor out the GCF 1%2F2


Multiply both sides by 2.


Now let z=log%2810%2C%28x%29%29%2Flog%2810%2C%28b%29%29. Take note that . In other words, 1%2Fz=log%2810%2C%28b%29%29%2Flog%2810%2C%28x%29%29%29


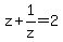
z%2B1%2Fz=2 Make the proper substitutions.


z%5E2%2B1=2z Multiply EVERY term by the LCD 'z' to clear out the fraction.


z%5E2-2z%2B1=0 Subtract 2z from both sides.


Notice that the quadratic z%5E2-2z%2B1 is in the form of Az%5E2%2BBz%2BC where A=1, B=-2, and C=1


Let's use the quadratic formula to solve for "z":


z+=+%28-B+%2B-+sqrt%28+B%5E2-4AC+%29%29%2F%282A%29 Start with the quadratic formula


z+=+%28-%28-2%29+%2B-+sqrt%28+%28-2%29%5E2-4%281%29%281%29+%29%29%2F%282%281%29%29 Plug in A=1, B=-2, and C=1


z+=+%282+%2B-+sqrt%28+%28-2%29%5E2-4%281%29%281%29+%29%29%2F%282%281%29%29 Negate -2 to get 2.


z+=+%282+%2B-+sqrt%28+4-4%281%29%281%29+%29%29%2F%282%281%29%29 Square -2 to get 4.


z+=+%282+%2B-+sqrt%28+4-4+%29%29%2F%282%281%29%29 Multiply 4%281%29%281%29 to get 4


z+=+%282+%2B-+sqrt%28+0+%29%29%2F%282%281%29%29 Subtract 4 from 4 to get 0


z+=+%282+%2B-+sqrt%28+0+%29%29%2F%282%29 Multiply 2 and 1 to get 2.


z+=+%282+%2B-+0%29%2F%282%29 Take the square root of 0 to get 0.


z+=+%282+%2B+0%29%2F%282%29 or z+=+%282+-+0%29%2F%282%29 Break up the expression.


z+=+%282%29%2F%282%29 or z+=++%282%29%2F%282%29 Combine like terms.


z+=+1 or z+=+1 Simplify.


So the only solution in terms of z is z+=+1


But remember, we let z=log%2810%2C%28x%29%29%2Flog%2810%2C%28b%29%29


z=log%2810%2C%28x%29%29%2Flog%2810%2C%28b%29%29 Go back to that previous equation.


1=log%2810%2C%28x%29%29%2Flog%2810%2C%28b%29%29 Plug in z+=+1


log%2810%2C%28b%29%29=log%2810%2C%28x%29%29 Multiply both sides by log%2810%2C%28b%29%29.


b=x Since the bases are equal, the arguments are equal.


So the solution is x=b