SOLUTION: Write as a single logarithm: 2/3 log x - 1/2 log y - 3 log z

Algebra ->  Logarithm Solvers, Trainers and Word Problems -> SOLUTION: Write as a single logarithm: 2/3 log x - 1/2 log y - 3 log z      Log On


   



Question 242503: Write as a single logarithm:
2/3 log x - 1/2 log y - 3 log z

Answer by jsmallt9(3758) About Me  (Show Source):
You can put this solution on YOUR website!
%282%2F3%29+log%28%28+x%29%29+-+%281%2F2%29+log%28%28+y%29%29+-+3+log+%28%28z%29%29
To write this as a single logarithm we will have to replace two of them with their values or we will have to combine these logarithms into one. With the variables in the arguments we will not be able to find the value of log(x), log(y) or log(z). So we will have to combine these logarithms into one somehow. Fortunately we have properties of logarithms that allow us to do this:
  • log%28a%2C+%28p%29%29+%2B+log%28a%2C+%28q%29%29+=+log%28a%2C+%28p%2Aq%29%29
  • log%28a%2C+%28p%29%29+-+log%28a%2C+%28q%29%29+=+log%28a%2C+%28p%2Fq%29%29

One thing to notice about these properties is that there is no (visible) number in front. And all of our logarithms have numbers in front. Fortunately we have a third property of logarithms to handle this:
q%2Alog%28a%2C+%28p%29%29+=+log%28a%2C+%28p%5Eq%29%29
This lets us move numbers in front of logarithms, coefficients, into the argument as an exponent.

So before we try to combine the logarithms we must use the third property to move the coefficients out of the way:
log%28%28+x%5E%282%2F3%29%29%29+-+log%28%28+y%5E%28+1%2F2%29%29%29+-+log+%28%28z%5E3%29%29
Now we can start combining the logs. We will use the second property because it has subtraction between the two logs and so do we. We will first combine the first two logs:
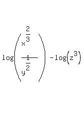
log%28%28+x%5E%282%2F3%29%2Fy%5E%28+1%2F2%29%29%29+-+log+%28%28z%5E3%29%29
And now the remaining two:
log%28%28%28+x%5E%282%2F3%29%2Fy%5E%28+1%2F2%29%29%2Fz%5E3%29%29
which simplifies to:
log%28%28+x%5E%282%2F3%29%2F%28y%5E%28+1%2F2%29z%5E3%29%29%29
and we have a single logarithm!