SOLUTION: what is x if: logx(16)=-2 I have x^-2=16 x^-2^-1=16^-1 x^2=1/16 2 squareroot 1/16
Algebra
->
Logarithm Solvers, Trainers and Word Problems
-> SOLUTION: what is x if: logx(16)=-2 I have x^-2=16 x^-2^-1=16^-1 x^2=1/16 2 squareroot 1/16
Log On
Algebra: Logarithm
Section
Solvers
Solvers
Lessons
Lessons
Answers archive
Answers
Click here to see ALL problems on logarithm
Question 240520
:
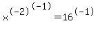
what is x if: logx(16)=-2
I have x^-2=16
x^-2^-1=16^-1
x^2=1/16
2 squareroot 1/16
Answer by
jsmallt9(3758)
(
Show Source
):
You can
put this solution on YOUR website!
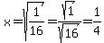
All of this...
I have
(Rejecting -sqrt(1/16) because x is the base of a logarithm and we don't have logarithms with negative bases.)
... is great. But you should simplify your answer: