SOLUTION: Hi. I'm a college freshman and my professor did not explain very well logarithms. I was hoping you maybe could help me? the problem is to solve for x. {{{logx+log((x-11))=lo

Algebra ->  Logarithm Solvers, Trainers and Word Problems -> SOLUTION: Hi. I'm a college freshman and my professor did not explain very well logarithms. I was hoping you maybe could help me? the problem is to solve for x. {{{logx+log((x-11))=lo      Log On


   



Question 219792: Hi.
I'm a college freshman and my professor did not explain very well logarithms. I was hoping you maybe could help me?
the problem is to solve for x.
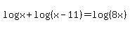
logx%2Blog%28%28x-11%29%29=log%28%288x%29%29

Answer by Alan3354(69443) About Me  (Show Source):
You can put this solution on YOUR website!
logx%2Blog%28%28x-11%29%29=log%28%288x%29%29
------------
logs are added when their arguments are multiplied.
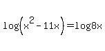
log(x) + log(x-11) = log(x*(x-11))
log%28%28x%5E2+-+11x%29%29+=+log%288x%29
x%5E2+-+11x+=+8x since the logs are equal, the arguments are equal
x%5E2+-+19x+=+0
x = 0 log(0) isn't valid, so ignore this solution
x = 19