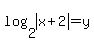
SOLUTION: Express the exponential equation into a logarithmic equation. x=2^y-2
Algebra
->
Logarithm Solvers, Trainers and Word Problems
-> SOLUTION: Express the exponential equation into a logarithmic equation. x=2^y-2
Log On
Algebra: Logarithm
Section
Solvers
Solvers
Lessons
Lessons
Answers archive
Answers
Click here to see ALL problems on logarithm
Question 212984
:
Express the exponential equation into a logarithmic equation.
x=2^y-2
Answer by
rapaljer(4671)
(
Show Source
):
You can
put this solution on YOUR website!
Start by adding +2 to each side:
By definition of logarithms,
R^2