SOLUTION: Assume x>0 and 3x-1>0. Rewrite the following expression as a single logarithm. 2ln(x)-(1/2)ln((9x^2)-1)+ (1/2)ln (3x+1)

Algebra ->  Logarithm Solvers, Trainers and Word Problems -> SOLUTION: Assume x>0 and 3x-1>0. Rewrite the following expression as a single logarithm. 2ln(x)-(1/2)ln((9x^2)-1)+ (1/2)ln (3x+1)      Log On


   



Question 205650: Assume x>0 and 3x-1>0. Rewrite the following expression as a single logarithm.
2ln(x)-(1/2)ln((9x^2)-1)+ (1/2)ln (3x+1)

Answer by Edwin McCravy(20060) About Me  (Show Source):
You can put this solution on YOUR website!
Assume x>0 and 3x-1>0. Rewrite the following expression as a single logarithm.

2ln%28x%29-%281%2F2%29ln%289x%5E2-1%29%2B+%281%2F2%29ln+%283x%2B1%29+

Use the fact that A%2Aln%28B%29+=+ln%28A%5EB%29 on each of the
three terms:

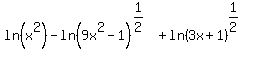
+ln%28x%5E2%29-ln%289x%5E2-1%29%5E%281%2F2%29%2B+ln+%283x%2B1%29%5E%281%2F2%29

Use the fact that ln%28A%29-ln%28B%29=ln%28A%2FB%29 on the first
two terms:

+ln%28%28x%5E2%29%2F%289x%5E2-1%29%5E%281%2F2%29%29%2B+ln+%283x%2B1%29%5E%281%2F2%29

Use the fact that ln%28A%29%2Bln%28B%29=ln%28A%2AB%29 

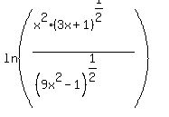
+ln%28%28x%5E2%2F%289x%5E2-1%29%5E%281%2F2%29%29%283x%2B1%29%5E%281%2F2%29%29

You actually have it as a single logarithm at this step.
However, your teacher probably wants you to simplify it.  

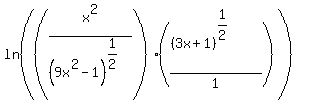
Put the second factor over 1 so you will have two
fractions to multiply:



Indicate the multiplication of tops and bottoms of 
those fractions:

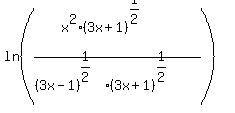
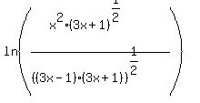
+ln%28++%28x%5E2%283x%2B1%29%5E%281%2F2%29%29++%2F%28%289x%5E2-1%29%5E%281%2F2%29%29%29

Factor 9x%5E2-1 as %283x-1%29%283x%2B1%29



Use the fact that %28A%2AB%29%5EN=A%5EN%2AB%5EN to rewrite the
denominator:



Cancel:

 

+ln%28++x%5E2++%2F%28%283x-1%29%5E%281%2F2%29%29%29

Change the 1%2F2 power to a square root:

+ln%28++x%5E2++%2Fsqrt%283x-1%29%29

Edwin